Control y
eficiencia energética EN LAS INSTALACIONES
1. Medidas
establecidas en el RITE
2. Eficiencia
en la producción
3. Eficiencia
en la distribución
Fuente: RITE https://www.boe.es/buscar/doc.php?id=BOE-A-2007-15820
IT 1.2.4.5 Recuperación de energía
IT 1.2.4.5.1 Enfriamiento gratuito por aire exterior
1. Los subsistemas de
climatización del tipo todo aire, de potencia térmica nominal mayor que 70 kW
en régimen de refrigeración, dispondrán de un subsistema de enfriamiento
gratuito por aire exterior.
2. En los sistemas de
climatización del tipo todo aire es válido el diseño de las secciones de
compuertas siguiendo los apartados 6.6 y 6.7 de la norma UNE-EN 13053 y UNE-EN
1751:
a) Velocidad frontal
máxima en las compuertas de toma y expulsión de aire: 6 m/s
b) Eficiencia de
temperatura en la sección de mezcla: mayor que el 75 %
3. En los sistemas de
climatización de tipo mixto agua-aire, el enfriamiento gratuito se obtendrá
mediante agua procedente de torres de refrigeración, preferentemente de
circuito cerrado, o, en caso de empleo de máquinas frigoríficas aire‑agua,
mediante el empleo de baterías puestas hidráulicamente en serie con el
evaporador.
4. En ambos casos, se
evaluará la necesidad de reducir la temperatura de congelación del agua
mediante el uso de disoluciones de glicol en agua.


Control de compuertas:

Fuente: Fundamentos de
climatización” Atecyr
Objetivos:
•
Asegurar la entrada de ventilación mínima
según RITE
•
Minimizar el consumo energético de la
planta

Control del enfriamiento
por aire exterior
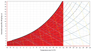
|
Sistemas de enfriamiento gratuito por control de
entalpía puro |
|
|
Sistemas de enfriamiento gratuito por control de
temperatura seca. (Válido para sitios con poca humedad) |
|
|
Sistemas de enfriamiento gratuito por control de entalpía
mejorado. (Válido para climas húmedos) |
|
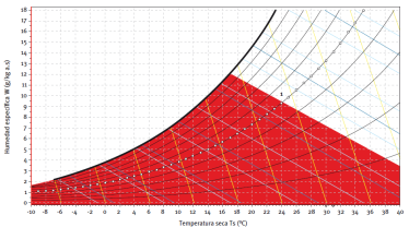
Estrategia free-cooling sensible
|
Zona D: •
Temperatura exterior
superior a la del local. •
Maximizar la
recirculación de aire del local. Zona C: •
Temperatura exterior
inferior a la del local pero superior a la de impulsión. •
Todo aire exterior, no
hay recirculación de modo que la temperatura de entrada en la batería de frío
es la mínima posible. Zona B: •
Temperatura aire
exterior inferior a la de impulsión. •
Se abre parcialmente
la del aire exterior y se deja recircular para alcanzar la temperatura de
impulsión. Zona A: •
Temperatura exterior
muy fría. •
El caudal exterior se
limita el mínimo requerido y se intenta recircular el máximo caudal (se
trabaja en modo calefacción). |
Fuente: Fundamentos de climatización” Atecyr |
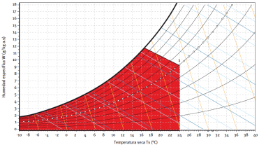
Estrategia free-cooling entálpico
|
Zona 3 y 4: •
La temperatura
exterior es superior a la del local, por tanto es
contraproducente energéticamente introducir una cantidad mayor de aire
exterior respecto a la necesaria. •
Por tanto, máxima
recirculación Zona 1: •
La temperatura y la
entalpía del aire es menor a la del local, por lo que se deba aprovechar al
máximo esta situación reduciendo la recirculación. Zona 2 •
La temperatura del
aire exterior es inferior a la de la zona, pero la entalpía es superior. Por
tanto, introducir más aire del necesario aumentará la humedad del aire en la
entrada del climatizador y en la batería de frío invertirá mayor energía en
condensar, perdiendo eficiencia el sistema. |
Fuente: Fundamentos de climatización” Atec |
IT 1.2.4.5.2 Recuperación de calor del aire de
extracción
1. En los sistemas de
climatización de los edificios en los que el caudal de aire expulsado al
exterior, por medios mecánicos, sea superior a 0,5 m3/s, se
recuperará la energía del aire expulsado.
2. Sobre el lado del
aire de extracción se instalará un aparato de enfriamiento adiabático.

3. Las eficiencias mínimas
en calor sensible sobre el aire exterior (%) y las pérdidas de presión máximas
(Pa) en función del caudal de aire exterior (m3/s)
y de las horas anuales de funcionamiento del sistema deben ser como mínimo las
indicadas en la tabla 2.4.5.1
Tabla 2.4.5.1 Eficiencia
de la recuperación.
|
Horas anuales de funcionamiento |
Caudal de aire exterior (m3/s) |
|||||||||
|
> 0,5 ... 1,5 |
> 1,5 ... 3,0 |
> 3,0 ... 6,0 |
> 6,0...12 |
> 12 |
||||||
|
% |
Pa |
% |
Pa |
% |
Pa |
% |
Pa |
% |
Pa |
|
|
≤ 2.000 |
40 |
100 |
44 |
120 |
47 |
140 |
55 |
160 |
60 |
180 |
|
> 2.000 ... 4.000 |
44 |
140 |
47 |
160 |
52 |
180 |
58 |
200 |
64 |
220 |
|
> 4.000 ... 6.000 |
47 |
160 |
50 |
180 |
55 |
200 |
64 |
220 |
70 |
240 |
|
> 6.000 |
50 |
180 |
55 |
200 |
60 |
220 |
70 |
240 |
75 |
260 |

4. En las piscinas
climatizadas, la energía térmica contenida en el aire expulsado deberá ser recuperada,
con una eficiencia mínima y unas pérdidas máximas de presión iguales a las
indicadas en la tabla 2.4.5.1. para más de 6.000 horas anuales de
funcionamiento, en función del caudal.
5. Alternativamente al
uso del aire exterior, el mantenimiento de la humedad relativa del ambiente
puede lograrse por medio de una bomba de calor, dimensionada específicamente
para esta función, que enfríe, deshumedezca y recaliente el mismo aire del
ambiente en ciclo cerrado.

Figura izq tiene
recirculación, aplicable en aires tipo AE1 y AE2. Figura drecha todo aire
exteiror, aplicable en aires de expulsión tipo AE2, AE3 y AE4.
En la instalación de los
recuperadores debería tenerse en cuenta:
•
Control de la ventilación para no ventilar
más de lo necesario (arranque y parada de la unidad de ventilación por sonda de
CO2 ambiente).
•
Control del sistema para que el ahorro en
emisiones de CO2 que produce el recuperador de calor sea superior a
las emisiones de CO2 debidas al consumo eléctrico de los
ventiladores.
•
Posibilidad de realizar enfriamiento
gratuito (freecooling) realizando un by-pass al recuperador de calor. El RITE no obliga a
realizar free-cooling en instalaciones de menos de 70
kW, pero es algo que debería contemplarse en cualquier
caso.
•
Posibilidad de realizar enfriamiento
nocturno. El enfriamiento en horas nocturnas (al amanecer) permite obtener
ahorros de energía importantes.
Categorías del aire de expulsión:

IT 1.2.4.5.3 Estratificación
En los locales de gran
altura la estratificación se debe estudiar y favorecer durante los períodos de demanda
térmica positiva y combatir durante los períodos de demanda térmica negativa.
IT 1.2.4.5.4 Zonificación
1. La zonificación de un
sistema de climatización será adoptada a efectos de obtener un elevado
bienestar y ahorro de energía.
2. Cada sistema se
dividirá en subsistemas, teniendo en cuenta la compartimentación de los
espacios interiores, orientación, así como su uso, ocupación y horario de
funcionamiento.
IT 1.2.4.5.5 Ahorro de energía en piscinas
1. La lámina de agua de
las piscinas climatizadas deberá estar protegida con barreras térmicas contra
las pérdidas de calor del agua por evaporación durante el tiempo en que estén
fuera de servicio.
2. La distribución de
calor para el calentamiento del agua y la climatización del ambiente de
piscinas será independiente de otras instalaciones térmicas.
IT 1.2.4.6 Aprovechamiento de energías renovables
IT 1.2.4.6.1 Contribución solar para la producción de
agua caliente sanitaria
1. En los edificios
nuevos o sometidos a reforma, con previsión de demanda de agua caliente
sanitaria una parte de las necesidades energéticas térmicas derivadas de esa
demanda se cubrirá mediante la incorporación en los mismos de sistemas de
captación, almacenamiento y utilización de energía solar, adecuada a la
radiación global de su emplazamiento y a la demanda total de agua caliente del
edificio.
2. Las instalaciones
térmicas destinadas a la producción de agua caliente sanitaria cumplirán con la
exigencia fijada en la sección HE 4 «Contribución solar mínima de agua caliente
sanitaria» del Código Técnico de la Edificación, que les afecten.
IT 1.2.4.6.2 Contribución solar para el calentamiento
de piscinas cubiertas
1. En las piscinas
cubiertas una parte de las necesidades energéticas del calentamiento del agua se
cubrirá mediante la incorporación de sistemas de captación, almacenamiento y
utilización de energía solar.
2. Las instalaciones
térmicas destinadas al calentamiento de piscinas cubiertas cumplirán con la
exigencia fijada en la sección HE 4 «Contribución solar mínima de agua caliente
sanitaria» del Código Técnico de la Edificación, que les afecten.
IT 1.2.4.6.3
Contribución solar mínima para el calentamiento de piscinas al aire libre
1. Para el calentamiento
del agua de piscinas al aire libre sólo podrán utilizarse fuentes de energía
renovables, como la energía solar, o residuales. No puede utilizarse energía
convencional para el calentamiento de piscinas al aire libre.
2. Las instalaciones
térmicas destinadas al calentamiento de piscinas al aire libre cumplirán con la
exigencia fijada en la sección HE 4 «Contribución solar mínima de agua caliente
sanitaria» del Código Técnico de la Edificación, que les afecten, en el caso de
estar dotadas de instalación solar térmica.
IT 1.2.4.6.4 Climatización de espacios abiertos
La climatización de
espacios abiertos sólo podrá realizarse mediante la utilización de energías
renovables o residuales. No podrá utilizarse energía convencional para la
generación de calor y frío destinado a la climatización de estos espacios.
IT 1.2. 4.7 Limitación de la utilización de energía
convencional
IT 1. 2.4.7.1 Limitación de la utilización de energía
convencional para la producción de calefacción
La utilización de
energía eléctrica directa por «efecto Joule» para la producción de calefacción,
en instalaciones centralizadas solo estará permitida en:
a) Las instalaciones con
bomba de calor, cuando la relación entre la potencia eléctrica en resistencias
de apoyo y la potencia eléctrica en bornes del motor del compresor, sea igual o
inferior a 1,2.
b) Los locales servidos
por instalaciones que, usando fuentes de energía renovable o energía residual,
empleen la energía eléctrica como fuente auxiliar de apoyo, siempre que el
grado de cobertura de las necesidades energéticas anuales por parte de la
fuente de energía renovable o energía residual sea mayor que dos tercios.
c) Los locales servidos
con instalaciones de generación de calor mediante sistemas de acumulación
térmica, siempre que la capacidad de acumulación sea suficiente para captar y
retener durante las horas de suministro eléctrico tipo «valle», definidas para
la tarifa eléctrica regulada, la demanda térmica total diaria prevista en
proyecto, debiéndose justificar en su memoria el número de horas al día de
cobertura de dicha demanda por el sistema de acumulación sin necesidad de
acoplar su generador de calor a la red de suministro eléctrico.
IT 1.2.4.7.2 Locales sin climatización.
Los locales no
habitables no deben climatizarse, salvo cuando se empleen fuentes de energía
renovables o energía residual.
IT 1.2.4.7.3 Acción simultánea de fluidos con
temperatura opuesta.
1. No se permite el
mantenimiento de las condiciones termo-higrométricas de los locales mediante:
a) procesos sucesivos de
enfriamiento y calentamiento; o
b) la acción simultánea
de dos fluidos con temperatura de efectos opuestos;
2. Se exceptúa de la
prohibición anterior, siempre que se justifique la solución adoptada, en los
siguientes casos, cuando:
a) se realice por una
fuente de energía gratuita o sea recuperado del condensador de un equipo
frigorífico;
b) sea imperativo el
mantenimiento de la humedad relativa dentro de intervalos muy estrechos;
c) se necesite mantener
los locales acondicionados con presión positiva con respecto a los locales
adyacentes;
d) se necesite simultanear
las entradas de caudales de aire de temperaturas antagonistas para mantener el
caudal mínimo de aire de ventilación;
e) la mezcla de aire
tenga lugar en dos zonas diferentes del mismo ambiente.
IT 1.2.4.7.4 Limitación del consumo de combustibles
sólidos de origen fósil.
Queda prohibida la
utilización de combustibles sólidos de origen fósil en las instalaciones
térmicas de los edificios en el ámbito de aplicación de este reglamento a
partir del 1 de enero de 2012.
[Fuente: https://www.interempresas.net/Instaladores/Articulos/109900-Incidencia-del-sistema-de-distribucion-de-energia-en-la-eficiencia-energetica-de-edificios.html]
·
Cambio de un sistema de caudal constante
a caudal variable
o
El sistema de caudal constante se caracteriza
porque el caudal total de agua que circula por la red de calefacción es siempre
el mismo. Se trata de un sistema anticuado, sencillo y poco eficiente.
o
En el sistema de caudal variable el caudal de
agua de calefacción que circula por la instalación depende de la demanda
instantánea de las viviendas. De esta manera, disminuye el consumo eléctrico de
las bombas, la pérdida de energía térmica por distribución y el consumo de
combustible, al tener que calentar sólo el agua necesaria.
o
Se trata de un tipo de instalación más
novedoso que el anterior y con múltiples beneficios, tanto energéticos como
económicos.
o
Se puede afirmar que los sistemas de caudal
variable son siempre aconsejables por su alto grado de eficiencia energética.
· Temperatura
de impulsión
o
Todos los sistemas de alta eficiencia
energética o que aprovechan las nuevas fuentes de energía tienden a trabajar a
bajas y muy bajas temperaturas de impulsión (LTH = Low
Temperature Heating).
o
Cuanto mayor sea la diferencia entre la temperaturas entre la distribución y el exterior, mayor
será la energía perdida.
· Aislamiento
térmico
o
Para ayudar a reducir al máximo dichas
pérdidas de energía en el Sistema de Distribución, es imprescindible la
correcta colocación de aislamiento térmico cumpliendo con los espesores
precisos y los materiales adecuados.
o
Según el RITE (Reglamento de Instalaciones
Térmicas de los Edificios), en toda instalación térmica por la que circulen
fluidos no sujetos a cambio de estado, en general las que el fluido caloportador es agua, las pérdidas térmicas globales por el
conjunto de conducciones no superarán el 4% de la potencia máxima que
transporta.
o
Todos los productos hidráulicos dedicados a la
correcta distribución del clima deben cumplir con las exigencias marcadas por
el CTE DB-SI. Se utilizará preferentemente elastómero de caucho con clase
BL-s3, d0.
·
Individualización de consumos y control
individualizado
o
Desde la entrada en vigor del RITE (1998), en
toda vivienda de nueva construcción es obligatorio:
§ Exista
algún sistema que permita el reparto de los gastos correspondientes a cada
servicio (calor, frío y ACS) entre los diferentes usuarios: repartidores de
costes (columnas) y contadores (anillos).
§ Existan
válvulas de zona con sus correspondientes termostatos.
o
Además, la nueva Directiva Europea de
Eficiencia Energética (2012) menciona, en su Artículo 9, la obligatoriedad de
instalar, en todos los edificios con algún sistema de calefacción o agua
caliente centralizados y antes del 1 de enero de 2017, algún sistema de
medición individual.
Link
guía técnica IDAE de contabilización de consumos
·
Equilibrado hidráulico
o
Consiste en establecer los componentes y
procedimientos adecuados para garantizar que todas las viviendas obtienen el
caudal de diseño, y, por lo tanto, la potencia diseñada por el ingeniero para
satisfacer sus necesidades térmicas en todo momento, sin exceso ni defecto.
o
Muchas de las viviendas construidas desde los
inicios de la calefacción central hasta nuestros tiempos no disponen de ningún
tipo de equilibrado, y, a día de hoy, los edificios que disponen de equilibrado
generalmente cuentan con uno muy primitivo.
o
Un equilibrado incorrecto no impide el
funcionamiento de la instalación, pero se traduce en determinados problemas de
confort habituales en las instalaciones centrales (imposibilidad de alcanzar la
temperatura de consigna, sobrepresiones, ruidos, imposibilidad de interrumpir
completamente el suministro de calor o frío en algunas viviendas…) y, sobre
todo, en elevados consumos de energía.