Dieléctrico (Rho>0)

 

 

Arriba Dieléctrico (Rho<0) Dieléctrico (Rho>0) MathCad (rho<0) MathCad (rho>0)

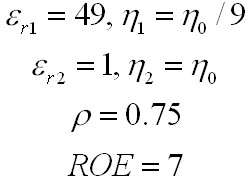
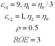
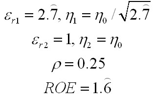
PRIMER MEDIO MÁS DENSO QUE EL SEGUNDO

(Rho positivo)

 

(Sólo onda progresiva)

(no hay discontinuidad)