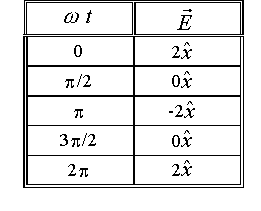
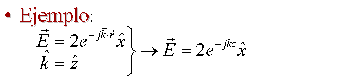
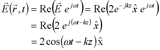
Ejemplo 1

 

Arriba