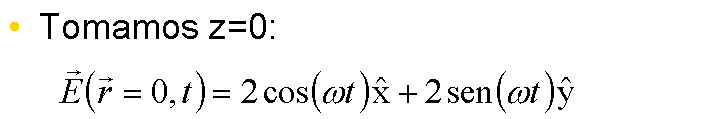
Ejemplo 2

 

Arriba