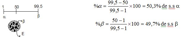
Solución al Problema 5.14
a y b) El porcentaje de fases a
500Cº
será:
a
300Cº
, el porcentaje de fases será
Los constituyentes serán
b
+ E