Problema de Transbordo - Transporte

Grafos
forma parte de un proyecto de investigación y desarrollo de aplicaciones
informáticas de diseño modular orientadas hacia la docencia, investigación y
labores profesionales de Ingeniería de Organización. Grafos contiene entre otras
una librería bajo licencia LGPL,
para solucionar problemas de Programación Lineal Entera Mixta (lpsolve.dll 5.x - Copyright © 1991, 2005 Free Software Foundation, Inc.).
En este apartado se comentará la aplicación de la teoría de grafos para la resolución y optimización del flujo en una red. Concretamente se hablará de los Problemas de Suministro y Demanda.
Dado un grafo G con vértices o nodos V conectados entre sí y clasificados en dos conjuntos X e Y. Los nodos x se considerarán como elementos de suministro (por ejemplo plantas productivas o proveedores), mientras que los nodos y se entenderán como elementos de demanda (clientes cuya demanda hay que satisfacer). El objetivo será encontrar el flujo (transporte de mercancías a través de la red) con origen en los nodos x y destino en los y, que satisfaga una serie de restricciones que dependerán del problema particular a resolver.
En la literatura, existen multitud de heurísticas y algoritmos optimizadores para resolver algunos de estos casos particulares (por ejemplo una versión especial del Algoritmo Simplex para Programación Lineal llamado Network Simplex Algorithm). Asimismo, también existen generalizaciones del problema ('multiterminal'), o incluso variantes con perdida de flujo en los arcos (por ejemplo la evaporación de agua en canales de riego).
En cualquier caso, este tipo de problemas es uno de los más interesantes de la teoría de grafos y de la investigación operativa. Su aplicación es visible y de gran importancia para la resolución de problemas reales en la Dirección de Operaciones y Logística.
Problema del Transbordo (coste mínimo)
Se puede considerar un grafo como una red de flujo. Donde los nodos proveedor producen o introducen en la red cierta cantidad de algún tipo de material, y los nodos cliente lo consumen. Cada arco, por tanto, puede considerarse como un conducto que tiene cierta capacidad de flujo (mínima y/o máxima) y un coste de transporte por unidad de material.
Dado un grafo dirigido G=(V,E) con capacidades c (mínima y/o máxima) no negativas y también con coste de transporte no negativo (expresado por unidad de flujo) para los arcos E.
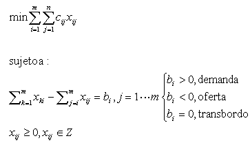
Dado un conjunto de nodos X proveedores (con una capacidad b<0 de suministro), y también un conjunto Y de nodos clientes (con una demanda b>0). En este caso particular, además se consideran nodos de transbordo (con valor de b=0), esto es nodos, que ni aportan ni consumen mercancías y donde éstas simplemente cambian de arco o hacen un transbordo.
Además, se exige la condición de continuidad en los nodos. Esto es, la suma de flujos entrantes a un nodo menos la suma de los salientes, debe ser mayor o igual a la capacidad b del nodo.
Por tanto, el problema de flujo máximo se enuncia como: ¿cuál es el flujo de transporte de cada arco con el cual se puede transportar el material desde los nodos proveedores a los nodos cliente, sin violar las restricciones de capacidad y continuidad y todo ello minimizando el coste total de transporte?.
En el caso de Grafos, este problema se aborda a través del modelado y resolución mediante Programación Lineal. Igualmente, se pueden resolver problemas de: transporte de mercancías (logística de aprovisionamiento y distribución), flujo de gases y líquidos por tuberías, componentes o piezas en líneas de montaje, corriente en redes eléctricas, paquetes de información en redes de comunicaciones, tráfico ferroviario, sistema de regadíos, etc.
El problema de transbordo, se puede transformar en un problema clásico de flujo mínimo coste añadiendo un único nodo proveedor s y un único nodo de demanda t (ver Hitchcock-Koopmans, método Out-of-Kilter). Para que dicho problema sea factible, la suma del suministro total debe ser mayor o igual que el total de demanda (equilibrado).
Problema del Transporte (coste mínimo)
El problema del transporte es un problema de transbordo pero con un grafo dividido G=(S,T,E), con todos los nodos suministradores en S y los de demanda en T. Además, todos los arcos van dirigidos de S a T y no existen nodos de transbordo.
El Problema de Asignación es un caso especial del problema de transporte, en el cual hay el mismo número de nodos suministradores que de demanda y los valores de nodos b= ± 1.
Fuente: A. Rodríguez
más información
- Hitchcock, F. L., "The distribution of a Product from Several Sources to Numerous Localities", J. Math. Phys., 20, no. 2 (April 1941), 224-30.
- Kuhn, H. W., "The Hungarian Method for the Assignment Problem", Naval Research Logistics Quaterly, 2, nos. 1 and 2 (1955), 83-97.
- Ford, L. R. and Fulkerson, D. R. Flows in Networks. Princeton, NJ: Princeton University Press, 1962.
- Edmonds, J. and Karp, R. M. "Theoretical Improvements in Algorithmic Efficiency for Network Flow Problems." J. ACM 19, 248-264, 1972.
- Zadeh. N, "A Bad Network Problem for the Simplex Method and other Minimum Cost Flow Algorithms", Math. Prog., 5, no. 3 (December 1973), 255-66.
